| FAQ | 
| Lista utenti | 
| Gruppi sociali | 
| Calendario | 
| Cerca | 
| Messaggi odierni | 
| 
 | |||||||
|  | 
|  | LinkBack | Strumenti della discussione | Modalità di visualizzazione | 
| 
 | |||
|  esercizi chimica organica 6 esercizi chimica organica 6
			
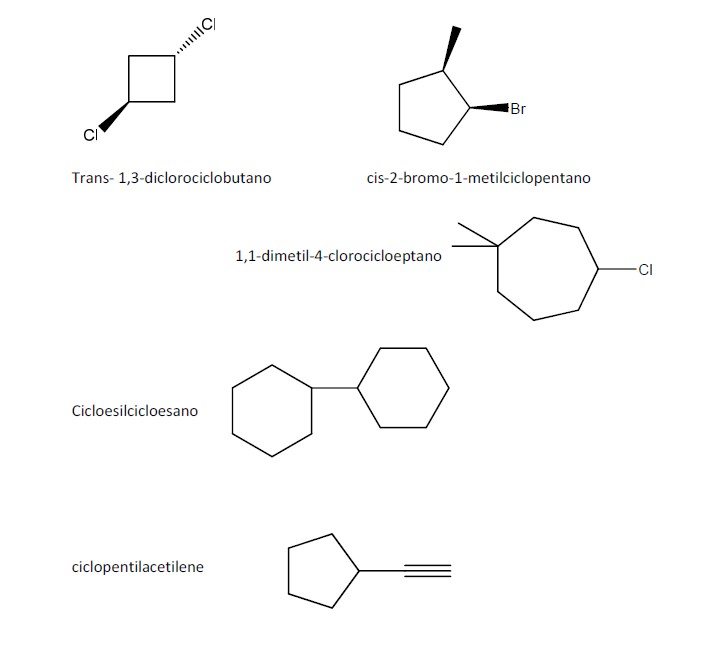
			Scrivere le formule di struttura di: trans-1,3-diclorociclobutano;  cis-2-bromo-1-metilciclopentano;  cicloesilcicloesano;  ciclopentilacetilene;  1,1-dimetil-4-clorocicloeptano
		 | 
| 
 | |||
|  formule di struttura composti organici Quote: 
 | 
|  | 
| 
 |  | 
|  Discussioni simili | ||||
| Discussione | Forum | |||
| chimica organica da 1-pentene a 1-pentanolo, borano | Chimica | |||
| esercizi chimica organica 3 | Chimica | |||
| esercizi chimica organica 2 | Chimica | |||
| esercizi chimica organica 1 | Chimica | |||
| esercizi chimica organica 5 | Chimica | |||